网站首页
本系简介
本系新闻
重要通告
专业介绍
师资队伍
教师风采
教学团队风采
专业负责人风采
学生风采
教学科研
党建工作
实习就业
学生作品
志愿服务
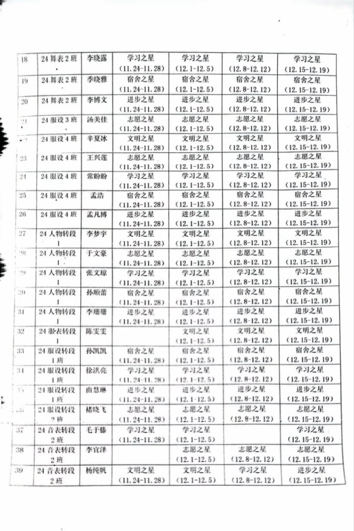
“山服榜样”选树活动——12月“月度榜样”评选结果
作者:徐梦婷
来源:
发布时间:2025-12-26
浏览次数:
“山服榜样”选树活动——12月“月度榜样”评选结果
撰稿人:徐梦婷
初审:丛淙
复审:刘夏菲
终审:于政婷